L4-Optimization
Contents
Optimization
grad check
解析计算后数值计算梯度验证之
|
|
梯度下降法
略
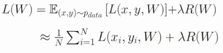
蒙特卡洛

把期望转化为数值求解,上图的等式两边求导也可,从而得到梯度
混合优化方法
Adam = RMSprop + Momentum 😮


为什么只是一阶函数优化?
