DATA100-L9: Introduction to Modeling, Simple Linear Regression
Contents
regression line, correlation
高中最小二乘法(least squares regression),线性回归

model
$“all\ models\ are\ wrong,\ but\ some\ are\ useful”$
trade between interpretability and accuracy
物理or统计模型
the modeling process: definitions
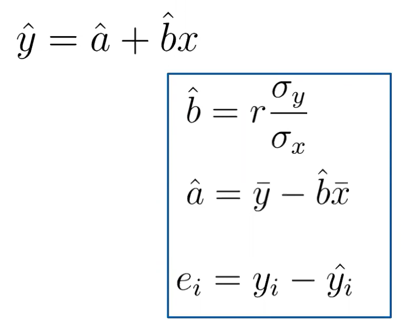
SLR: Simple Linear Regression
明确input和parameter的区别
有些统计模型可以没有参数!
loss functions
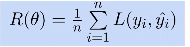
metric for good or bad
minimizing average loss (Empirical Risk 期望风险?)
最优化!
interpreting SLR: slope, Anscombe’s quartet
- 解释参数意义

- 预测未知数据

evaluating the model: RMSE, Residual Plot


