DATA100-L21: Classification and Logistic Regression I
Contents
Regression vs. Classification
全攻略😋

intuition: the coin flip
重新定义概率,只需要满足一些性质即可。参考 概率论与数理统计
deriving the logistic regression model
knn一瞥
这说明可以从某些变化转换为线性性质
- 考虑 probability $p$
- 考虑 odds $\frac{p}{1-p}$
- 考虑 log odds

广义线性由此可见
Graph of Averages
the sigmoid function
$$ \sigma(t)=\frac{1}{1+e^{-t}} $$
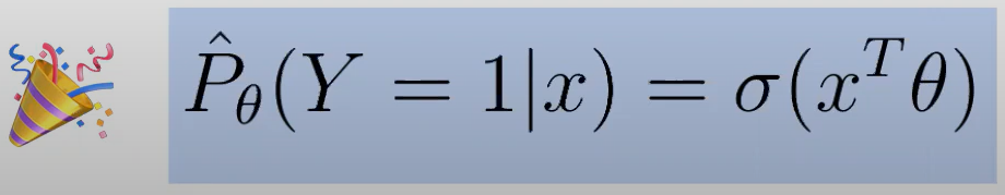
the logistic regression model
comparison to linear regression

parameter estimation
pitfalls of squared loss

- non-convex
- bounded, MSE ∈[0,1]
- conceptually questionable, not matching the “Probability and 0/1 labels”
cross-entropy loss
$$
-\frac{1}{N}\sum_{i=1}^N[y_i\log(p_i)+(1-y_i)\log(1-p_i)]
$$
Loss function should penalize well!
maximum likelihood estimation
see extra in L22!